加权平均数的定义和计算
豆豆 2023-12-07 17:59:53 1443人已围观
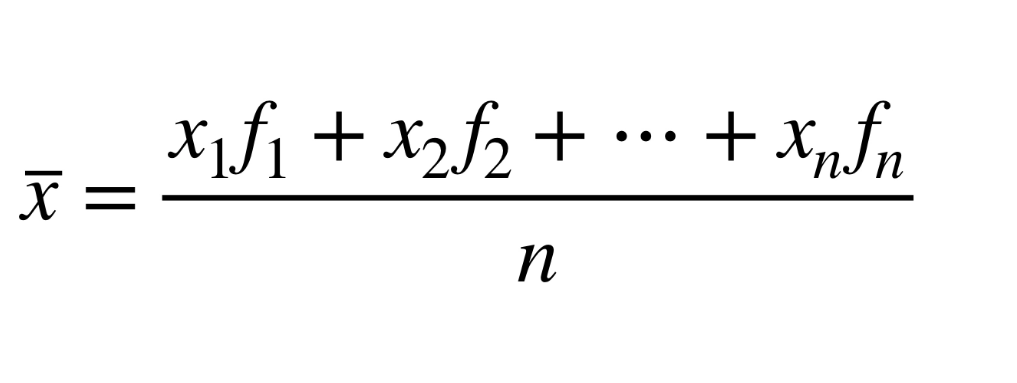
加权平均,统计学术语,在加权平均中,每个数据点都有一个对应的权重值,该权重值决定了数据点在计算平均值时的重要程度。通过相乘各个数据点的值与权重值,并将结果求和后再除以所有权重值的总和,就可以得到加权平均值,标准公式如下:

公式解释说明:

举例说明:

投资1:加权平均数=200*0.2+300*0.6+400*0.2=300
投资2:加权平均数=100*0.2+300*0.6+500*0.2=300
分享到:
编辑发布时间:2023-12-07 17:59:53

备付金存管银行是指可以为支付机构办理客户备付金的跨行收付业务,并负责对支付机构存放在所有备付金银行的客户备付金信息进行归集、核对与监督的备付金银行。(支付机构客
最近有一套生产系统的数据库CPU老是偏高,发现闲时也在40%-60%左右,感觉很不正常,决定优化一下,在这
首先需要知道什么叫一元购? 就是你支付一元后获得一个购物资格,有的叫抽