数学基础(二)
豆豆 2021-05-01 15:03:12 866人已围观
整式与分式的运算基础
一、整式及其运算
1、整式的定义
在有理式中没有除法运算或有除法运算但除式中不含字母的式子叫整式。整式包括单项式和多项式,其和、差、积仍为整式。

2、整式加减运算
几个整式相加减,有括号的先去括号,然后合并同类项。 整式加法满足交换律、结合律和对乘法的分配律。例如:
整式加减法的运算步骤:(1)去括弧 (2)合并同类项
注意:去括号时一定要注意符号的处理。
3、整式乘法运算
(1)、基本运算规则
整式乘法的运算步骤:(1)一个因式的每一项乘以另一个因式的每一项(2)合并同类项。

推理:
a
注意:乘积中的任一项, 都是每个因式多项式中各取一项相乘, 再合并同类项后的结果。
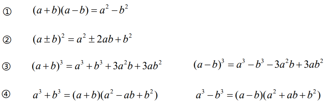
(2)、基本公式

4、整式除法运算
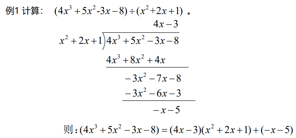
(1)、竖式除法

(2)、带余除法

(3)、余式定理

(4)、因式定理

5、多项式的因式分解
把一个多项式表示成几个整式之积的形式,叫做多项式的因式分解。多项式因式分解的常用方法如下:
方法一:提取公因式法。
公因式:多项式中各项都含有的相同的因式,即各项中系数的最大公约数与相同字母的最低次幂的乘积。
例如:
方法二:提取公因式法。
公因式:多项式中各项都含有的相同的因式,即各项中系数的最大公约数与相同字母的最低次幂的乘积。
例如:
方法三:提取公因式法。
公因式:多项式中各项都含有的相同的因式,即各项中系数的最大公约数与相同字母的最低次幂的乘积。
例如:
方法四:提取公因式法。
公因式:多项式中各项都含有的相同的因式,即各项中系数的最大公约数与相同字母的最低次幂的乘积。
例如:
方法五:提取公因式法。
公因式:多项式中各项都含有的相同的因式,即各项中系数的最大公约数与相同字母的最低次幂的乘积。
例如:
注意:
涉及到因式分解的问题,首先考虑首尾项检验法!!即:原式最高次项系数,一定等于各因式的最高次项系数之积;原式的常数项,一定等于各因式常数项之积。
二、分式及其运算
1、分式的定义
2、分式的基本性质
3、分式的运算
4、解分式方程
三、重要运算技巧
1、关于1/a+1/b+1/c=0的问题
2、迭代降次问题
3、重点梳理

备付金存管银行是指可以为支付机构办理客户备付金的跨行收付业务,并负责对支付机构存放在所有备付金银行的客户备付金信息进行归集、核对与监督的备付金银行。(支付机构客
最近有一套生产系统的数据库CPU老是偏高,发现闲时也在40%-60%左右,感觉很不正常,决定优化一下,在这
首先需要知道什么叫一元购? 就是你支付一元后获得一个购物资格,有的叫抽